| Site Name | Latitude | Longitude | model vs obs. amplitude ratio |
Correlation Coef. | M Score | Combined Score |
|---|---|---|---|---|---|---|
| alt_01D0 | 82.45 | -62.52 | 0.52 | 0.99 | 0.52 | 3.77 |
| brw_01C0 | 71.32 | -156.60 | 0.54 | 0.99 | 0.54 | 3.78 |
| ice_01D0 | 63.25 | -20.15 | 0.52 | 0.99 | 0.52 | 3.76 |
| mbc_01D0 | 76.25 | -119.35 | 0.58 | 0.99 | 0.58 | 3.91 |
| palcbc_30C0 | 67.97 | 24.12 | 0.69 | 0.97 | 0.69 | 4.09 |
| pfa015_01D2 | 65.07 | -147.29 | 0.52 | 0.95 | 0.52 | 3.56 |
| sis_02D0 | 60.17 | -1.17 | 0.57 | 0.98 | 0.57 | 3.82 |
| stm_01D0 | 66.00 | 2.00 | 0.60 | 0.96 | 0.60 | 3.82 |
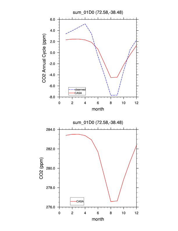
| sum_01D0 | 72.58 | -38.48 | 0.54 | 0.98 | 0.54 | 3.77 |
| zep_01D0 | 78.90 | 11.88 | 0.56 | 0.99 | 0.56 | 3.83 |
| zot005_45D2 | 60.75 | 89.38 | 0.45 | 0.98 | 0.45 | 3.53 |
| All_11 | - | - | 0.55 | 0.98 | 0.71 | 4.18 |