| Site Name | Latitude | Longitude | Observed |
|---|---|---|---|
| Atqasuk | 70.47 | 70.47 | 1999-2006 |
| UCI_1989 | 55.92 | 55.92 | 2001-2005 |
| UCI_1964 | 55.91 | 55.91 | 2001-2005 |
| UCI_1930 | 55.91 | 55.91 | 2001-2005 |
| UCI_1981 | 55.86 | 55.86 | 2001-2005 |
| FortPeck | 48.31 | 48.31 | 2000-2006 |
| LostCreek | 46.08 | 46.08 | 2001-2005 |
| ParkFalls | 45.95 | 45.95 | 1996-2003 |
| WindRiver | 45.82 | 45.82 | 1999-2004 |
| WillowCreek | 45.81 | 45.81 | 1999-2005 |
| UMBS | 45.56 | 45.56 | 1999-2003 |
| HowlandForestWest | 45.21 | 45.21 | 1999-2004 |
| HowlandForestMain | 45.20 | 45.20 | 1996-2004 |
| MetoliusOldPonderosaPine | 44.50 | 44.50 | 1996-2000 |
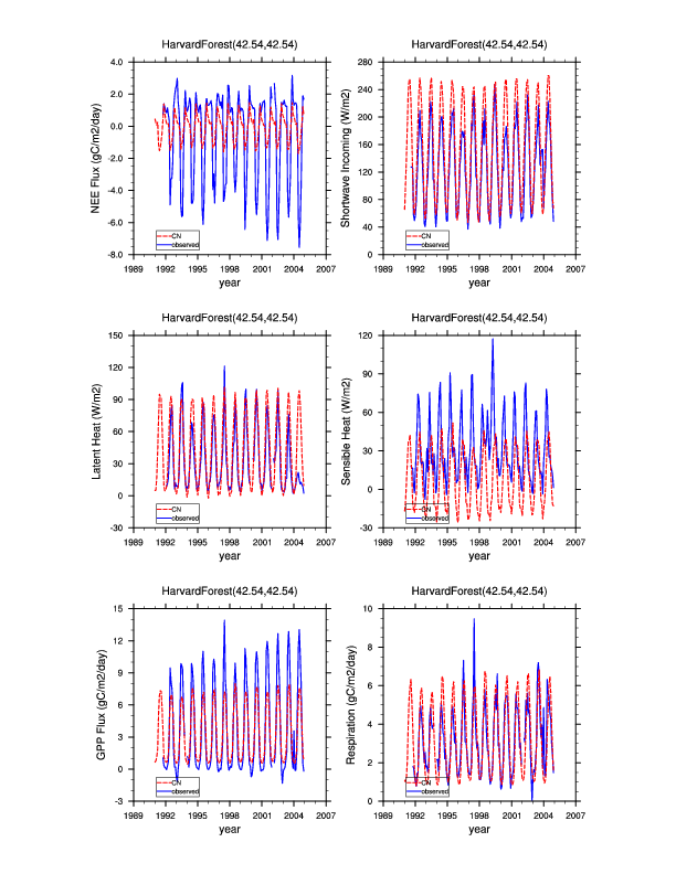
| HarvardForest | 42.54 | 42.54 | 1991-2004 |
| Mead-rainfed | 41.18 | 41.18 | 2001-2005 |
| Mead-irrigated | 41.17 | 41.17 | 2001-2005 |
| Mead-irrigated-rotation | 41.16 | 41.16 | 2001-2005 |
| NiwotRidge | 40.03 | 40.03 | 1999-2003 |
| Bondville | 40.01 | 40.01 | 1996-2006 |
| MorganMonroe | 39.32 | 39.32 | 1999-2005 |
| Tonzi | 38.43 | 38.43 | 2001-2006 |
| Vaira | 38.41 | 38.41 | 2001-2006 |
| Duke_Forest_Pine | 35.98 | 35.98 | 2001-2005 |
| Duke_Forest_Open_Field | 35.97 | 35.97 | 2001-2005 |
| WalkerBranch | 35.96 | 35.96 | 1995-1999 |
| SkyOaks_Young | 33.38 | 33.38 | 1997-2006 |
| SkyOaks_Old | 33.37 | 33.37 | 1997-2006 |
| Mize | 29.76 | 29.76 | 1998-2004 |
| Donaldson | 29.75 | 29.75 | 1999-2004 |
| KennedySpaceCenterScrub | 28.61 | 28.61 | 2000-2006 |