Set 12

b01.01ibis
and
b30.004

Back to diagnostic sets

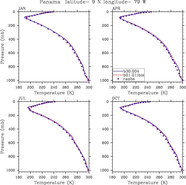
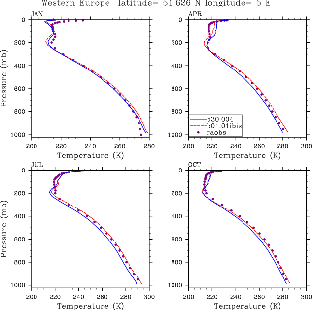
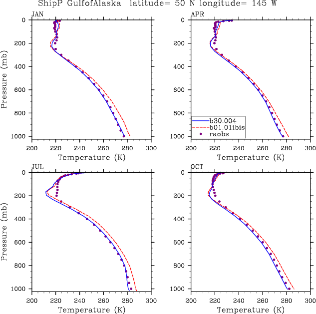
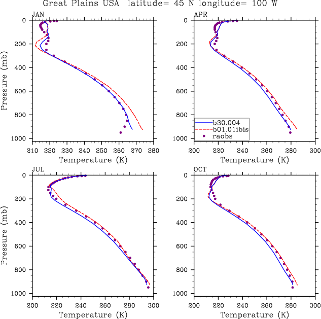
Set 12 - Vertical Profiles at 17 selected raobs stations


Station Name T Q H
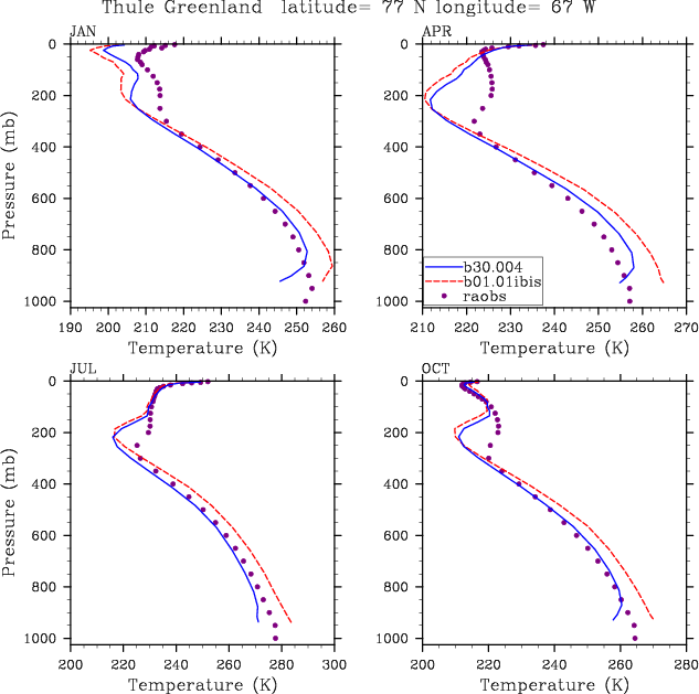
Thule Greenland plot plot plot
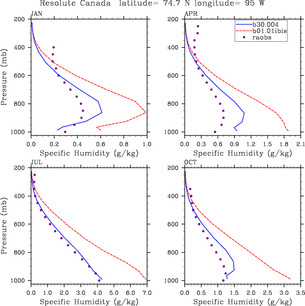
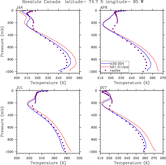
Resolute NWT Canada plot plot plot
Ship P Gulf of Alaska plot plot plot
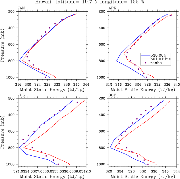
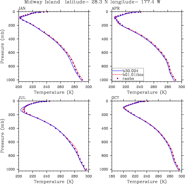
Midway Island (N Pacific) plot plot plot
Northern Great Plains USA plot plot plot
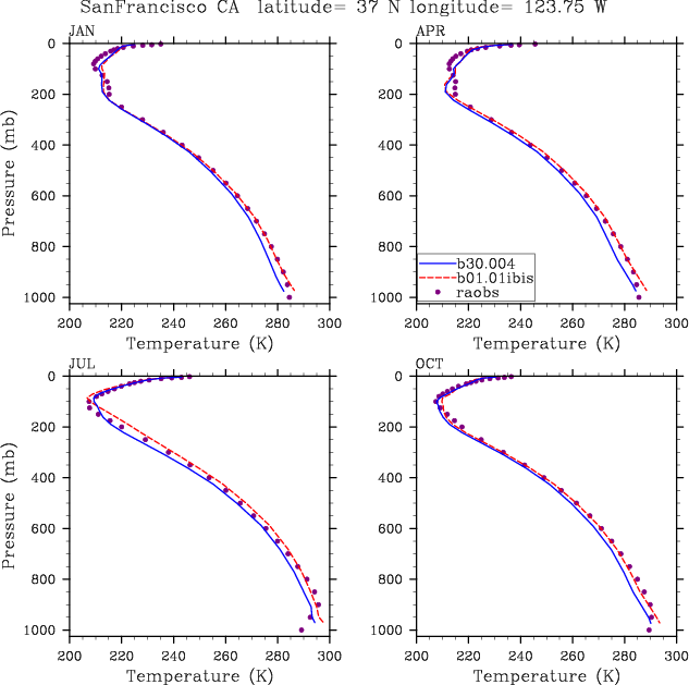
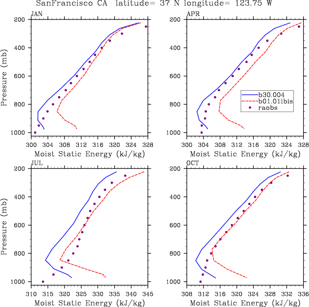
San Francisco Calif USA plot plot plot
Western Europe plot plot plot
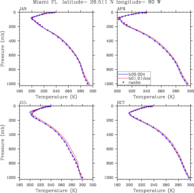
Miami Florida USA plot plot plot
Panama Central America plot plot plot
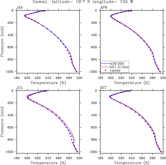
Hawaii (Eq Pacific) plot plot plot
Marshall Islands (Eq Pacific) plot plot plot
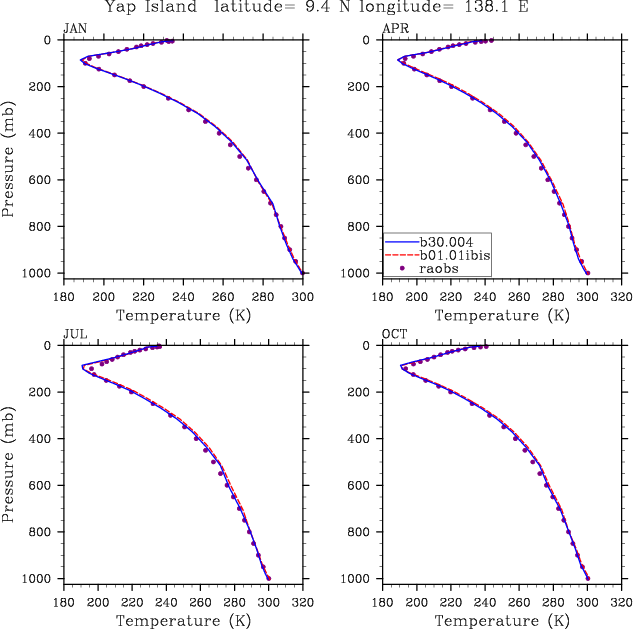
Yap Island (Eq Pacific) plot plot plot
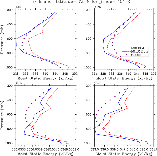
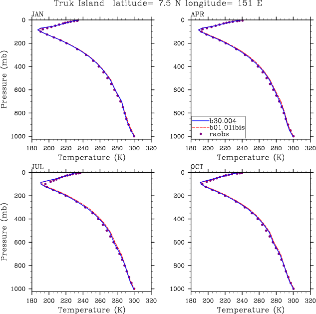
Truk Island (Eq Pacific) plot plot plot
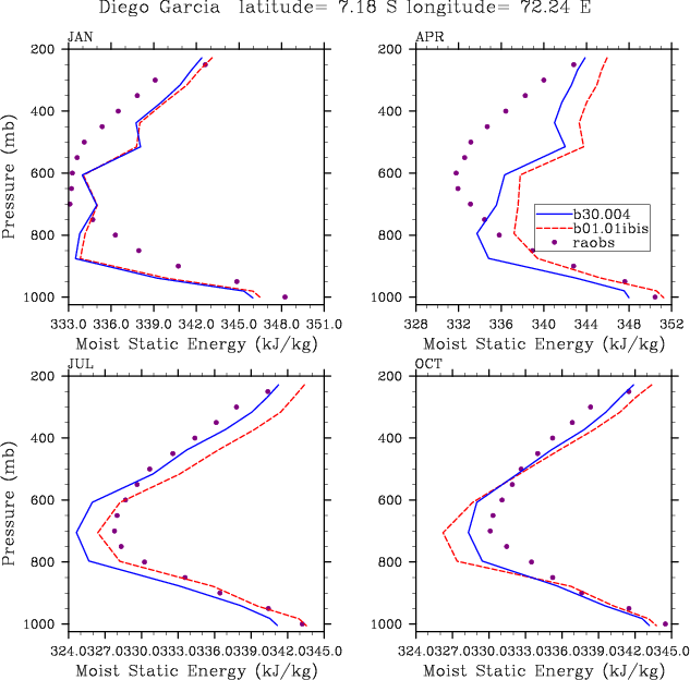
Diego Garcia (Eq Indian) plot plot plot
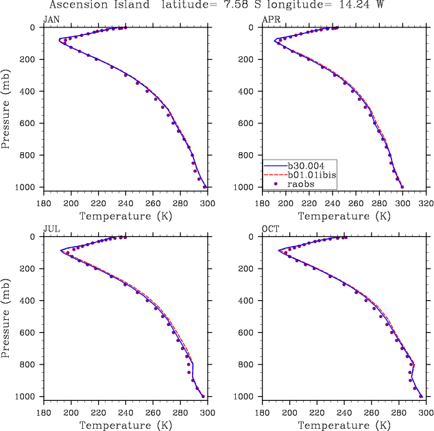
Ascension Island (Eq Atlantic) plot plot plot
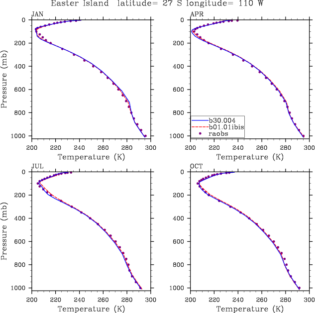
Easter Island (S Pacific) plot plot plot
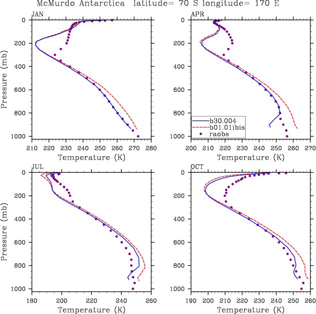
McMurdo Antarctica plot plot plot